본문 바로가기

금융

미국 증시 조정과 고환율 딜레마: 환손실을 이기는 투자 수익률의 공식

2026 1월부터 2 현재까지 최근 미국 증시에서 기술주 대부분이 조정을 받고 있는 상태이다기업 자체의 문제에 더해 여러 매크로 및 지정학적 요인들로 인해 증시의 변동성을 키우고 있는 상황이지만 이 글의 목적은 증시전망이 아니다. 미국 증시가 이러한 불확실성을 딛고 반등하며 상승으로 돌아설지, 아니면 폭으로 조정을 받게 될지는 아무도 없다.

 

다만 현재 크게 조정을 받은 일부 종목들의 경우, 적립식 분할 매수로 접근하기 매력적인 구간에 있다고 생각하는 투자자들도 있을 것이다. 말하고 싶은 핵심은 환율이다. 현재 원달러 환율(USD/KRW) 다소 떨어지긴 했지만 여전히 고환율 상태이며, 1,400원 대 전후까지 더 떨어질 수 있다는 전망도 있어 환전 해외주식 매수에 있어 '환차손'을 생각하지 않을 없다.

 

해외 주식 투자자들이 가장 답답함을 느끼는 전형적인 딜레마 구간일 있다. 주식은 매력적인 가격대까지 내려왔는데, 환율이 발목을 잡는 상황이다. 주식 고수들이야 고민이 없을 수도 있지만, 나와 같은 일반 투자자에게는 '주식에서 벌고 환차손으로 다 까먹는 것 아냐?' 하는 우려는 지극히 합리적인 고민으로 다가온다.

 

환율이 올라 투자수익에 환차익까지 있다면 (양도세를 배제하고) 베스트이다. 반대로 환율이 더 떨어질 때(원화 강세) 이를 만회하려면 과연 얼마의 투자 수익을 내야 할까?

 

편의상 현재 원달러 기준환율을 1,000원으로 하고(환율 스프레드 우대율 100% 가정) $50,000(원화환산 5,000 ) 전액 투자한다고 가정해 보자.

 

1. 가치 유지 계산 흐름 (원달러 환율 1,000원 가정)

  • 초기 상태: 환율 1,000원 / 투자금 5,000만 원 = 50,000달러
  • 환율 1% 하락: 환율이 990원으로 떨어짐

       원달러 환율이 1% 하락(원화 강세)할 때 원화 환산 5,000만 원의 가치를 그대로 유지하려면 달러 자산에서 약 1.01%의 순수익이 발생해야 한다.

  • 가치 하락: 자산에 아무런 변화가 없다면, 50,000달러의 원화 가치는 4,950만 원이 된다(50만 원 증발).
  • 목표 달러: 환율이 990원인 상황에서 다시 5,000만 원의 가치를 맞추려면 달러가 얼마나 필요한지 역산해 보자.

        5,000만 원 ÷ 990원 = 50,505달러

  • 필요 수익률: 기존 원금 50,000달러가 50,505달러로 늘어나야 하므로, 늘어난 505.05달러는 원금 대비 약 1.01%가 된다.

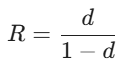
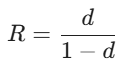
환율 하락률을 d라고 할 때, 가치를 방어하기 위해 필요한 수익률 R은 다음과 같이 표현할 수 있다.

 

미국 주식에 투자했을 때 환율하락에 따라 원금을 만회하기 위한 수익률은 다음 표와 같다.

 

환율 하락폭에 따른 미국 주식 수익률 (원금 유지 목적)

환율하락폭(d) 필요 주가 상승률(R) 양도소득세(원금 유지 시)
 1%  1.10% 0원
 2%  2.04% 0원
 3%  3.09% 0원
 5%  5.26% 0원
10% 11.11% 0원
15% 17.65% 0원

 

예를 들어 애플(AAPL) 주식만 매수했고 환율이 5% 하락했다면, 애플 주가가 5.26% 상승해야 원금 만회할 있다.

  • 초기 투자: 환율 1,000원일 때 5,000만 원으로 애플(AAPL) 주식 50,000달러어치 매수
  • 환율 5% 하락: 환율이 950원으로 떨어짐
  • 주가 5.26% 상승: 50,000달러의 가치가 52,630달러로 증가 (50,000 x 1.0526)
  • 원화 환산: 52,630달러 x 950원 = 49,998,500원 (소수점 이하 반올림 차이일 뿐, 정확히 5,000만 원 유지)

▷ 1.0526 원금을 포함한 총액의 배수를 뜻함(100% + 5.26%)  

소수점 이하 반올림 차이는 5.26% 뒤의 0.00315789...%를 생략하면서 발생한 약 1.58달러(원화 약 1,500원)의 빈자리를 의미

 

여러 주식을 매수했을 때는 총수익률을 따져야 하며, 마찬가지로 환율이 5% 하락했을 때, 전체 포트폴리오의 총수익률이 5.26% 이상이 되어야 원금을 만회할 있다.

 

참고: 개별 주식 하나만 샀을 때든, 여러 주식을 담아 전체 포트폴리오를 구성했을 때든 '총 달러 자산'이라는 하나의 큰 덩어리로 보면 수학적 원리는 100% 똑같이 적용된다.

 

예를 들어 계좌에 애플(AAPL), 마이크로소프트(MSFT), 넷플릭스(NFLX) 등 여러 종목이 다양한 비중으로 섞여 있다고 가정해 보자. 어떤 종목은 10% 크게 오르고, 어떤 종목은 2% 하락할 수도 있겠지만, 결과적으로 이것들을 모두 합산한 내 포트폴리오의 총 수익률(달러 기준)이 5.26%를 넘겨준다면, 환율이 5% 떨어지더라도 원화 투자 원금은 완벽하게 방어된다.

 

2. 달러자산은 늘고 세금은 줄어든다.

 

특히 선입선출법(FIFO)과 일별 매수/매도 환율을 적용해 스프레드시트로 해외 주식 양도소득세를 꼼꼼히 관리하다 보면, 달러로는 제법 수익이 났음에도 위의 표에서와 같이 환율 하락 덕분에 원화 수익이 줄어들어 절세가 되는 재미있는 현상도 목격된. 원화환산 금액은 그대로이지만 달러 총액은 증가하고, 세금은 없거나 줄어들게 된다.

 

이러한 양도소득세의 계산 구조 덕분에, 현재처럼 환율이 높을 때 진입하더라도 주가가 기대만큼 올라준다면 환손실을 만회하는 것이 수월해진다. 이는 아래에서 소개할 배당 투자보다 세금 측면에서 훨씬 유리한 포인트이다.

 

이를 현재의 원달러 환율 1,450원을 기준으로 원화강세 전망에 따라 1,400원대 전후까지 떨어진다면(배당, 각종 수수료 등 배제) 주가 수익률은 얼마가 되어야 원금을 유지할 있을지 계산해 보자.

 

 1) 환율 하락률(d) 계산

  • 현재 환율: 1,450원
  • 목표(예상) 환율: 1,400원
  • 하락폭: 50원
  • 환율 하락률: (50÷1,450)×100 = 3.45%

      (환율이 1,450원에서 1,400원으로 떨어진다는 것은 비율로 따지면 약 3.45% 하락을 의미)

 

 2) 원금 유지를 위한 필요 주가 상승률(R) 계산

 

배당을 배제하고 오직 주가 상승(매매 차익)만으로 원화 원금을 100% 유지하려면, 앞서 다루었던 수학 공식에 대입하거나, 조금 더 직관적으로 '기존 환율÷바뀐 환율 -1'로 계산할 수 있다.

  • 계산식: 1,450÷1,400 - 1
  • 필요 주가 상승률: 3.57%

환율이 1,450원에서 1,400원으로 떨어질 때, 매수한 미국 주식의 총수익률이 달러 기준으로 딱 3.57%만 상승해 준다면 환손실이 완벽하게 상쇄되어 원화 투자 원금을 그대로 지킬 수 있다.

 

주식 매매로 환손실이 방어되는 상황이므로, 이때 매도 원화 기준 최종 수익금은 '0원'이 되어 양도소득세는 단 1원도 발생하지 않게 된다.

그러나 원화를 달러로 바꿀 때의 환전 수수료, 주식을 살 때와 팔 때 증권사 거래 수수료 등을 고려하여 원화 원금을 100% 보존하려면, 3.57%보다 약간 더 높은 주가 상승이 필요하다.

 

따라서 최근 크게 조정을 받은 해외 기술 성장주를 매수할 때, 향후 반등 시 기대할 수 있는 상승 폭이 '3.57%'라는 환손실 허들을 충분히 넘어설 수 있을지 신중한 판단이 필요하다.

 

수익률 3.57% 이상의 투자 원금을 지키는 선에서 목표환율(1,400) 도달해 전액 매도해 두었을 다음과 같은 기대 효과와 고려해야 사항이 있다.

 

▶ 목표환율(1,400원) 도달 시 기대효과 (수익률 3.57% 이상 방어 시)

  • 달러 자산 증가: 주식을 달러 기준으로 비싸게 팔아 수익을 냈으므로, 계좌에 남아있는 달러 예수금 총액은 늘어남.

  • 세금 절감: 선입선출법(FIFO) 적용 시 매도 시점의 환율이 낮게(하락) 적용되면, 원화로 계산한 장부상 수익은 줄어든다. 해외 주식 양도소득세(22%)는 이 '원화 수익'을 기준으로 하기 때문에 세금을 극적으로 아낄 수 있게 된다.

  • 나중 환율이 오르게 되면 환차익 발생: 환율이 낮을 때(원화 강세) 주식을 팔아서 세금을 아꼈다면, 늘어난 달러를 바로 원화로 바꾸지 않고 해외 증권 계좌에 '달러 현금' 상태로 그대로 파킹해 둘 경우.
    • 환차손 피하기: 만약 이때 환율이 더 '내렸을 때(예: 1,400원 →1,350원)' 원화로 환전해 버리면, 오히려 원화 가치가 쪼그라드는 환차손을 입게 된다.
    • 환차익 실현: 시간이 지나 원달러 환율이 다시 '올랐을 때(예: 1,400원 →1,450원)' 원화로 인출을 하면 주식 수익으로 늘어난 달러 총액에 높아진 환율까지 곱해지면서 환차익까지 얻게 된다.
  • 환차익은 비과세: 다들 알고 있는 사실이지만 개인 투자자가 달러 현금을 들고 있다가 환율이 올라서(원화 약세) 얻는 순수 '환전 차익'에 대해서는 한국 국세청에서 세금을 매기지 않는다. 즉, "주식을 팔 때는 환율 하락을 이용해 양도세를 피하고, 환전할 때는 환율 상승을 기다려 비과세인 환차익을 경우 완벽한 절세 및 수익 극대화를 꾀할 있다. (물론 주식의 상승과 하락, 환율의 상승과 하락은 예측하기 어려워 이러한 시나리오가 완성되기 어려울 있고 시간이 걸릴 있다.)

※ 단, 원금을 초과하여 실질적인 원화 수익이 발생하기 시작하고, 그 수익이 기본 공제액인 연 250만 원을 넘어가면 그때부터 초과분에 대해 22%의 양도소득세가 적용된다.

 

3. 배당 수익을 통한 환율 방어 전략의 주의점

 

주가 상승(매매 차익)을 완전히 배제하고 '오직 배당금만으로' 환율 하락을 방어하려면, 배당 수익률 외에 '배당소득세(15%)'라는 아주 중요한 변수를 고려해야 한다.

 

수학적인 목표 자체는 주가 상승으로 방어할 때와 똑같다.

 

하지만 주식 앱이나 배당 정보 사이트(예: 시가배당률 5%)에서 우리가 보는 숫자는 '세금을 떼기 전(세전)' 기준이기 때문에, 내 계좌에 실제로 들어오는 '세후 배당금'이 이 목표치(R)를 달성할 수 있도록 세전 배당률을 더 높게 잡아야 한다.

  • 필요한 세후 배당률(R): 환율 하락을 방어하기 위한 기본 수익률

  • 필요한 세전 배당률:  세후 배당률 ÷ 0.85(배당소득세 15% 제외)

※ 미국 주식에서 배당금을 받을 때는 무조건 15%의 세금이 먼저 빠져나가게 된다(원천징수). 즉, 기업이 발표한 배당금의 100%를 다 받는 게 아니라, 세금을 제외한 85%만 내 계좌에 실제로 들어오게 된다.

 

예를 들어 환율이 5% 하락한다고 가정해 보자. 원금을 맞추기 위해 내 계좌에 실제로 꽂혀야 하는 세후 배당률은 5.26%이다. 하지만 15%의 세금을 떼고도 5.26%가 남으려면, 애초에 발표되는 세전 배당률은 약 6.19%가 되어야 한다(5.26%÷0.85).

 

환율 하락폭에 따른 필요 배당 수익률 (주가 변동 0% 가정)

환율하락폭(d) 필요 세후 배당률 필요 세전 배당률
 1%  1.10%  1.19%
 2%  2.04%  2.40%
 3%  3.09%  3.64%
 5%  5.26%  6.19%
10% 11.11% 13.07%
15% 17.65% 20.76%

 

환율 하락폭이 커질수록 이를 만회하기 위해 필요한 수익률은 기하급수적으로 치솟는다. 줄어든 원금으로 더 큰 손실을 덮어야 하니 요구되는 수익률이 수직 상승할 수밖에 없는 구조이다. 특히 이를 '세전 배당 수익'으로 방어하려면 15%의 세금이라는 페널티까지 더해져, 달성해야 할 수익률의 상승 곡선은 훨씬 더 가팔라진다. 투자에서 "수익을 내는 것보다 손실을 방어하는 것이 훨씬 중요하다"라고 강조하는 것도 바로 이러한 수학적 원리 때문이다."

 

실전 투자에서의 의미: 주가 상승 없이 순수하게 배당만으로 환율 하락폭을 방어하는 것은 생각보다 허들이 매우 높다. 환율 10% 하락을 대비하려면, (주가가 전혀 안 오른다는 전제하에) 연 13%가 넘는 고배당주를 찾아야 하는데, 이런 초고배당주는 원금 손실(주가 하락) 리스크가 동반되는 경우가 많다.

 

▶ 결론 및 우회전략

 

환율이 떨어질 것(원화 강세)이 걱정되는 시점에는, 배당 수익률에만 100% 의존하기보다는 '적당한 배당 + 주가 상승 여력(매매 차익)'이 함께 기대되는 우량 배당 성장주나, 기술주 포트폴리오를 구성하는 것이 환율 방어와 세금(양도세 비과세 구간 활용) 측면에서 훨씬 유리한 전략이 될 수 있다.

  1. 변동성의 크기(주식 반등 폭 vs. 환율 하락 폭): 환율이 현재 수준에서 1,400원 전후로 떨어진다고 가정할 때, 이는 퍼센트로 환산하면 대략 3~4% 내외의 환율 하락(환손실)을 의미한다. 반면, 현재 크게 조정을 받은 기술주들이 정상 궤도로 회복할 때 기대할 수 있는 반등 폭은 보통 3~4%를 훌쩍 뛰어넘는 경우가 많다.

    앞서 계산했던 가치 유지 공식에 대입해 보면, 환율이 4% 하락하더라도 주식이 4.2% 이상 상승해 준다면 전체 원화 환산 자산의 가치는 오히려 늘어나게 된다. 주식의 기대 수익률이 환손실 리스크를 충분히 덮고도 남는다고 판단된다면, 현재의 고환율은 감수할 수 있는 '프리미엄' 내지는 '진입 비용'으로 볼 수 있다.

  2. 국내 상장 환헤지(H) ETF 활용 (전술적 우회): 원화를 달러로 환전하는 것 자체가 부담스럽다면, 국내 증시에 상장된 미국 기술주 환헤지(H) ETF를 임시 피난처이자 투자처로 활용하는 방법도 있다.
    • 장점: 원달러 환율의 등락에 영향을 받지 않고, 순수하게 미국 기술주의 주가 상승분만 추종할 수 있다.
    • 전략: 지금처럼 주가는 낮고 환율은 높을 때 (H) ETF를 매수하여 기술주 반등을 기다린다. 향후 주가가 회복되고 환율도 1,400원 아래로 안정화되었을 때 이를 매도하고, 그때 낮아진 환율로 달러를 환전하여 본래의 해외 주식 직투 계좌로 넘어가는 스위칭 전략이다.
  3. 환전의 분할 매수 (시간 분산): 적립식 투자의 가장 큰 무기인 '분할 매수'를 환전에도 똑같이 적용한다. 주식을 사기 위해 목돈을 한 번에 환전하지 않고, 이번 주(또는 이번 달) 매수할 주식 금액만큼만 쪼개서 환전하는 방식이다. 이렇게 하면 주가의 평균 단가를 낮추듯(DCA), 환전 단가도 자연스럽게 평균치로 수렴하게 되어 심리적 압박을 크게 줄일 수 있다.

  4. 기존 달러 자산 내에서의 리밸런싱: 새로운 원화를 투입하는 것이 꺼려진다면, 현재 보유 중인 해외 주식 포트폴리오 내에서 해답을 찾을 수도 있다. 상대적으로 덜 떨어졌거나 회복 탄력성이 낮아 보이는 종목, 혹은 수익권에 있는 종목을 일부 매도하여 확보한 '기존 달러 예수금'으로 낙폭이 과대한 기술주를 매수하는 방식이다. 이 경우 환율 변동과는 완벽하게 분리된 상태에서 순수 자산 재배치만 이루어진다.

  5. 기회비용과 투자 심리의 균형: 환율과 주가의 최저점을 동시에 맞추려는 것은 불가능에 가깝다. 환율 하락을 기다리다 매력적인 주가 진입 타이밍(기회비용)을 놓치기보다는, 현재의 고환율을 우량주 매수를 위한 '프리미엄'으로 감수하는 중장기적 관점이 필요하다. 환율이나 투자 손실로 인한 심리적 압박이 크다면, 무리하지 않고 소액으로 접근하거나 시장을 한발 물러서서 관망하는 것도 현명한 투자 스타일일 수 있다.

☆ 현실적인 생각

 

누구든 해외주식에 투자하며 환율로 인한 손실이 계좌에 찍히는 것에 대한 거부감이 클 수 밖에 없다. 더구나 주가까지 크게 조정을 받는 상황이라면 해외 투자자에게 있어 악몽과 같으며 우울감에 일상생활에도 적지 않은 영향을 미치게 된다. 이를 극복하기 어려운 분들은 '투자 스타일' 아니며, 커피값 정도 버는 마음으로 소액으로 재미삼아 하거나 아예 주식에 발을 담그지 않는 것이 좋다.

 

하지만 이러한 변동성을 감내할 수 있는 중장기 투자자라면, '바닥을 잡으려다 버스를 놓친다'는 증시 격언처럼, 환율의 완벽한 타이밍을 기다리다 기술주의 훌륭한 매수 단가를 놓치는 기회비용이 더 클 수 있다.

 

그리고 나의 경우 건강보험 지역가입자로서 배당 수익을 얻으려다 1년간 매달 나가는 크게 증가된 건강보험료의 무서움을 깨달은  현재 배당주는 파킹통장 역할로만 활용하고 있다.

 

만약 연간 예상 배당금이 지역가입자 건보료 인상 기준인 1,000만 원이나 금융소득종합과세 기준인 2,000만 원을 애매하게 초과할 것 같다면 전략을 수정하는 것이 좋다. 건보료 폭탄과 종합소득세 리스크를 껴안고 고배당에 집착하기보다는, 차라리 22% 양도소득세로 깔끔하게 분리과세되는 '성장주 중심의 매매 차익 전략'을 취하는 것이 심리적으로나 절세 측면에서 훨씬 유리할 수 있다는 생각이다.

 

이상의 포스팅은 단기 트레이딩이나 레버리지 투자자들을 위한 내용이 아니며, 나와 같이 중장기 관점에서 여유를 갖고 꾸준히 투자를 이어가고자 하는 초보자 분들을 위해 조금이나마 참고가 되길 바라는 마음으로 작성하였다.

 

글의 내용에 있어 오류도 많고 오해의 소지도 있을 것으로 생각하지만 너그럽게 이해해 주시리라 믿으며, 긴 글에 비해 큰 틀에서 몇 가지 핵심만 보면 메시지는 너무도 단순하다.

"본 포스팅은 개인적인 경험과 생각을 바탕으로 작성되었으며,
금융 상품 이용에 대한 최종 결정과 책임은 사용자 본인에게 있습니다."